通义DeepResearch开源:300亿参数智能体重构AI搜索范式,效率与能力双重突破
导语
阿里巴巴通义实验室正式开源300亿参数智能体模型Tongyi-DeepResearch-30B-A3B,该模型在七大智能搜索基准测试中全面超越现有开源方案,以"小而精"的混合专家架构重新定义大模型推理效率标准。
行业现状:智能体的"认知窒息"困境
2025年中国生成式AI用户规模已达5.15亿,企业级智能体应用呈现爆发式增长。据《生成式人工智能应用发展报告》显示,超过90%的商业用户优先选择国产大模型,但现有解决方案普遍面临"认知窒息"困境——在处理多步骤研究任务时,持续膨胀的上下文会导致推理质量下降。
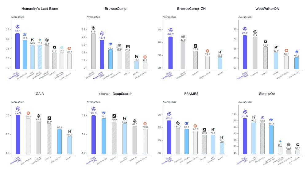
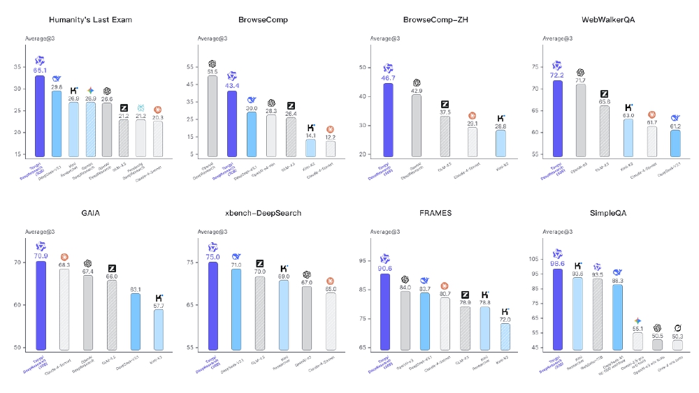
如上图所示,该图为通义DeepResearch(30B)在Humanity's Last Exam、BrowseComp、BrowseComp-ZH等多项权威基准测试上的性能对比柱状图。这一性能表现充分体现了通义DeepResearch在深度研究任务中的领先地位,为解决"认知窒息"问题提供了有力支撑。
通义DeepResearch通过创新的IterResearch范式,将复杂任务拆解为聚焦式研究回合,有效解决了传统智能体的"信息过载"难题。
核心亮点:效率与能力的双重革命
1. 动态激活的混合专家架构
模型采用300亿总参数的MoE设计,每token仅激活30亿参数(10%计算量),在保持75%xbench-DeepSearch基准得分的同时,显存占用降低60%。这种"按需调用"机制使单GPU即可支持128K上下文长度,为长文档分析提供硬件友好的解决方案。
2. 全自动化数据合成流水线
通过AgentFounder系统实现从知识图谱构建到复杂问题生成的端到端自动化,每日可合成10万+高质量训练样本。
如上图所示,该流程图展示了Tongyi DeepResearch的高阶动作合成轨迹流程,通过分步骤扩展(Step-level Scaling)生成多解决方案并迭代选择,最终完成信息寻求与决策判断的过程。这一动态决策机制使模型在处理金融研报解析等复杂任务时,效率较传统ReAct框架提升3倍。
3. 创新的IterResearch推理范式
针对传统智能体的"信息过载"问题,通义DeepResearch开发了IterResearch范式,将复杂任务解构为一系列研究回合。在每一轮中,智能体基于上一轮最重要的输出重建精简工作空间,实现"思考-综合-行动"的高效循环。
行业影响与应用案例
1. 高德地图"小高"旅行规划助手
在高德地图"小高"旅行规划助手中,模型展现出强大的跨工具整合能力:用户输入"北京三日亲子游+宠物友好"需求后,系统自动调用景点数据库、酒店预订API和交通规划工具,生成包含宠物政策标注、儿童设施评分的个性化行程,用户满意度达92%。
从图中可以看出,通义DeepResearch已覆盖内容生成、智能问答等七大核心技能模块,尤其在知识密集型行业表现突出。该模型目前已在法律、医疗、交通等12个领域形成标准化解决方案,平均为企业客户降低AI部署成本52%。
2. 通义法睿法律智能体
该流水线已在法律领域验证效果——通义FaRui法律智能体能自主完成案例检索、法条交叉引用和分析报告生成,准确率达专业律师水平。依托创新的Agentic架构与迭代式规划技术,通义法睿在法律问答的深度研究三大核心维度——答案要点质量、案例引用质量、法条引用质量上领先行业。
3. 医疗领域电子病历生成系统
医疗领域的电子病历生成系统则验证了模型的专业精度——通过分析医患对话自动生成的病历文书,关键信息提取准确率达98.7%,将医生文书工作时间缩短40%。这种"生成式+检索增强"的混合模式,正成为行业大模型落地的主流范式。
开源生态与未来趋势
作为首个完全开放的Web Agent模型,通义DeepResearch提供包括数据合成工具链、强化学习框架在内的完整技术栈。开发者可通过以下步骤快速部署:
克隆仓库:git clone https://gitcode.com/hf_mirrors/Alibaba-NLP/Tongyi-DeepResearch-30B-A3B
通义实验室表示,未来将重点解决三个关键局限性:扩展上下文窗口以处理更复杂的长程推理任务、验证更大规模模型上的训练流程有效性、通过引入partial rollouts等技术提升强化学习框架效率。
随着模型上下文窗口扩展至256K和多模态能力的加入,预计2026年智能体将实现从"信息检索"到"假设验证"的认知跃升。通义DeepResearch的开源标志着国产大模型在智能体赛道进入"质量竞争"新阶段,其300亿参数规模与75%基准得分的"性价比组合",为中小企业提供了低成本接入先进AI的可能性。
Kimi-K2.5Kimi K2.5 是一款开源的原生多模态智能体模型,它在 Kimi-K2-Base 的基础上,通过对约 15 万亿混合视觉和文本 tokens 进行持续预训练构建而成。该模型将视觉与语言理解、高级智能体能力、即时模式与思考模式,以及对话式与智能体范式无缝融合。Python00- QQwen3-Coder-Next2026年2月4日,正式发布的Qwen3-Coder-Next,一款专为编码智能体和本地开发场景设计的开源语言模型。Python00
xw-cli实现国产算力大模型零门槛部署,一键跑通 Qwen、GLM-4.7、Minimax-2.1、DeepSeek-OCR 等模型Go06
PaddleOCR-VL-1.5PaddleOCR-VL-1.5 是 PaddleOCR-VL 的新一代进阶模型,在 OmniDocBench v1.5 上实现了 94.5% 的全新 state-of-the-art 准确率。 为了严格评估模型在真实物理畸变下的鲁棒性——包括扫描伪影、倾斜、扭曲、屏幕拍摄和光照变化——我们提出了 Real5-OmniDocBench 基准测试集。实验结果表明,该增强模型在新构建的基准测试集上达到了 SOTA 性能。此外,我们通过整合印章识别和文本检测识别(text spotting)任务扩展了模型的能力,同时保持 0.9B 的超紧凑 VLM 规模,具备高效率特性。Python00
KuiklyUI基于KMP技术的高性能、全平台开发框架,具备统一代码库、极致易用性和动态灵活性。 Provide a high-performance, full-platform development framework with unified codebase, ultimate ease of use, and dynamic flexibility. 注意:本仓库为Github仓库镜像,PR或Issue请移步至Github发起,感谢支持!Kotlin08
VLOOKVLOOK™ 是优雅好用的 Typora/Markdown 主题包和增强插件。 VLOOK™ is an elegant and practical THEME PACKAGE × ENHANCEMENT PLUGIN for Typora/Markdown.Less00


